二叉樹
1. 二叉樹的概念
二叉樹是n個有限元素的集合,該集合或為空、或由一個根節點及兩個不相交的、被分別稱為左子樹和右子樹的二叉樹組成,是有序樹。當集合為空時,稱該二叉樹為空二叉樹。二叉樹又分為滿二叉樹和完全二叉樹
滿二叉樹:一個二叉樹,如果每一個層的結點數都達到最大值,則這個二叉樹就是滿二叉樹。也就是說,如果一個二叉樹的層數為K,且結點總數是(2^k) -1 ,則它就是滿二叉樹
完全二叉樹:完全二叉樹是由滿二叉樹引出的。滿二叉樹要求每一層的節點數都達到最大值,完全二叉樹僅要求除最后一層外的節點數達到最大值,也就是說最后一層可以不滿。我們可以把滿二叉樹看錯特殊的完全二叉樹。

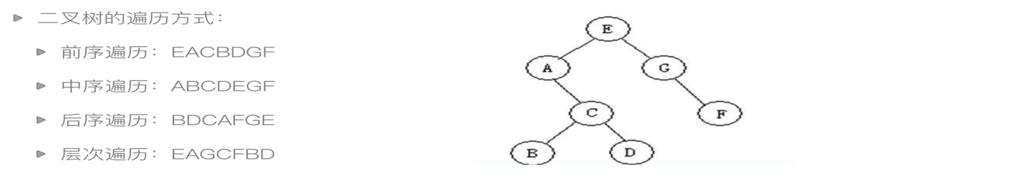
2. 二叉樹的遍歷

代碼實現:
# 構建節點類 class BiTreeNode: def __init__(self, item): self.item = item self.leftChild = None self.rightChild = None # 創建樹節點 a = BiTreeNode('A') b = BiTreeNode('B') c = BiTreeNode('C') d = BiTreeNode('D') e = BiTreeNode('E') f = BiTreeNode('F') g = BiTreeNode('G') # 模擬樹 e.leftChild = a e.rightChild = g a.rightChild = c c.leftChild = b c.rightChild = d g.rightChild = f # 根節點 root = e from collections import deque # 遍歷樹類 class ForInBiTree: # 前序遍歷:以根節點為中點分為左右兩邊,從根節點出發先遍歷左邊在遍歷右邊,從上左右原則 def pre_order(self, root): # 判斷是否是一個空樹 if root: print(root.item, end=',') # 先遍歷根節點 self.pre_order(root.leftChild) # 遞歸傳入左節點為參數,即往左邊走 self.pre_order(root.rightChild) # 遞歸傳入右節點為參數,沒有左子樹,在往右走 # 中序遍歷:以根節點為中心點,先遍歷左邊在到根節點再遍歷左邊,先左上右原則 def cen_order(self, root): if root: self.cen_order(root.leftChild) # 遞歸傳入左節點為參數,即往左邊走 print(root.item, end=',') # 沒有左子樹則遍歷自己 self.cen_order(root.rightChild) # 在往右進行遍歷 # 后序遍歷:以根節點為中心點,先遍歷左邊再遍歷右邊再根節點,從左右上原則 def later_order(self, root): if root: self.later_order(root.leftChild) # 先找左邊的子節點 self.later_order(root.rightChild) # 在找優點的子節點 print(root.item, end=',') # 沒有則輸出當前根節點 # 層次遍歷:從根節點開始,從上往下開始遍歷 def level_order(self, root): # 利用隊列的先進先出原則 queue = deque() queue.append(root) # 根節點進入隊列 while len(queue) > 0: # 當隊列中存在元素則說明還有子節點 node = queue.popleft() # 當前根節點指向出隊列的節點 print(node.item, end=',') # 按照從左往右的順序加入隊列 if node.leftChild: queue.append(node.leftChild) if node.rightChild: queue.append(node.rightChild) forInBiTree = ForInBiTree() # 前序遍歷結果:E,A,C,B,D,G,F forInBiTree.pre_order(root) # 中序遍歷結果:A,B,C,D,E,G,F forInBiTree.cen_order(root) # 后序遍歷結果:B,D,C,A,F,G,E forInBiTree.later_order(root) # 層次遍歷結果:E,A,G,C,F,B,D forInBiTree.level_order(root)
浙公網安備 33010602011771號