運算放大器內部組成略談
1、運算放大器介紹
1. 運放的開環增益非常大,即下圖中Auo很大。
2. 運放的輸入端沒有電流,即運放具有極高的輸入阻抗。

圖(b)把輸出端通過兩個電阻分壓,引回到了負輸入端,形成了負反饋。根據數家要求的條件,有下式成立:

2、運算放大器內部組成介紹
運算放大器共分為3部分組成:輸入級、中間級、輸出級。
1. 輸入級:輸入級往往由一個雙端輸入的高性能差分放大電路。差分放大電路的出現是為了穩定電路的靜態工作點,其輸入電阻高,電壓放大倍數大抑制零點漂移能力強等優點。
2. 中間級:中間級一般由共射放大電路組成,其主要作用是使集成運放具有較強的放大能力,多采用共射放大電路或者共源放大電路。為了更大的放大倍數,經常使用復合管以恒流源代替Rc電阻作為集電極負載。
3. 輸出級:輸出級一般由共集放大電路(射極跟隨器)組成,不過為了交流信號的輸出完整性,會將集電極上面的R?電阻替換成一個三級管。

2.1輸入級電路分析
2.1.1輸入級電路分析(差分放大器)

圖中R'e 、V'cc為戴維寧定理變換等效出的等效電源以及等效電阻,其表達是如下:

雖然由于輸入回路參數對稱,使靜態電流其中IBQ1=IBQ2, 從而ICQ1=ICQ2=ICQ ;但是,由于輸出回路的不對稱性使得T1管和T2管的集電極電位UCQ1≠UCQ2,從而使得管壓降UCEQ1≠UCEQ2。

1、靜態分析:
當輸入信號uI=0時,電阻Re中的電流等于T1管和T2管的發射極電流之和,即

基極回路方程:

通常情況下,由于Rb阻值很小(很多情況下Rb為信號源內阻),而且IBQ也很小,所以Rb上的電壓可以忽略不計。UBEQ為三極管處于靜態工作點的電壓,通常數據手冊可以查到。
靜態工作點:指在沒有輸入信號(即輸入信號為零)時,三極管各極的直流電壓和直流電流的值。

只要合理的選擇Re的阻值,并與電源VEE相配合,就可以設置合適的靜態工作點。由IEQ可得:

2、動態分析 --輸入差模信號:

如圖5所示,差模信號作用時,由于T1管和T2管中電流大小相等方向相反,所以發射極相當于接地。

當輸入差模信號時,由于Ad的分母足夠小(Rb以及rbe一般都是歐姆級別的數值,而RC//RL為千歐級別),差模放大倍數Ad會得到一個足夠大的值。
3、動態分析 --輸入共模信號:

當輸入共模信號時,由于兩邊電路的輸入信號大小相等極性相同。

對于每一根管子,可以認為是△iE流過阻值為2Re所造成的,如圖6右側所示。與輸出電壓相關的T1管一邊電路對共模信號的等效電路如圖6右側所示。

當輸入共模信號時,由于Ac的分母非常大((1+β)Re,β一般為100以上,Re為千歐級別電阻),共模放大倍數Ac會得到一個很小的值。
共模抑制比KCMR:

由共模抑制比KCMR公式所示:增大發射極Re電阻可以有效的提高共模抑制比。
4、交流信號等效電路參數:



2.1.2輸入級電路分析(差分放大器-帶恒流源)
在差分放大電路中,增大發射極電阻Re的阻值,可以有效地抑制每一邊電路的溫漂,提高共模抑制比,對于單端輸出電路尤為重要。
那么我們可以無限制的加大Re的阻值不?那是當然不行的。
如圖7 在輸入信號uI一定的時候,如果無限制的增加Re阻值,電源VCC與VEE無法提供足夠的能量,會致使三極管從放大區逐漸進入飽和區,這時候的三極管可不能作為放大器件來使用。
但是怎樣才能解決這個問題呢?
增大共模抑制比=>增加Re電阻的阻值,我們可以選用恒流源,恒流源具有內阻無窮大的、不需要過高的輸入電源供電等特點。具有恒流源的差分放大電路如圖8。

如圖8所示,R2上面的電壓為:

T3管的集電極電流

若UBE3的變化忽略不計,則IC3基本不受溫度影響。由圖8可知,沒有動態信號可以作用到T3管的基極和發射極,因此IC3等效為恒流。
當T3管輸出特性為理想特性時,恒流源的內阻為無窮大,即相當于T1和T2管接了一個阻值為無窮大的電阻,對共模信號的負反饋無窮大。使得AC=0,KCMR=∞。
2.1.3電流源電路
集成運放電路中的晶體管和場效應管,除了作為放大管外,還構成電流源電路,為各級提供合適的靜態電流;或作為有源負載取代高阻值的電阻。
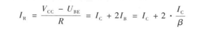
1、鏡像電流源

首先,電路所用的兩個管子都是特性完全相同的,因此β1=β2。由于T0管的基極與集電極被相互連接,所以Ube0=Uce0,確保了管子處于放大狀態。這是電路正常工作的前提。
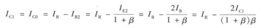
此外,由于T0管和T1管的基極對地電位相同,射級都接地,即Ube1=Ube2,則IB0=IB1=IB,如圖9所示。
根據上面提到的β1=β2,結合IB0=IB1=IB,則可以得到IC1=IC0。

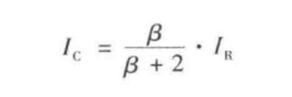
所以集電極電流為:

當β>>2時,輸出電流:

鏡像電流源具有一定的溫度補償作用:

2、比例電流源

從電路可知:

根據晶體管發射結電壓與發射極電流的近似關系①可得

由于T0與T1的特性完全相同,所以:

整理可得

當β>>2時:IE0≈IC0≈IR,IE1≈IC0:

①在忽略基區電阻rbb’上的電壓時,晶體管發射極電流與b-e之間電壓的關系約為:

其中:
UT為熱電壓,一般為26mv
IS為集電極的飽和電流
3、微電流源

當β>>1時

圖11中T0與T1管的特性完全相同

4、加射極放大器的恒流源

利用T2管的電流放大作用,減少基極電流IB0和IB1對基準電流IR的分流。T0、T1和T2特性完全相同

輸出電流為:

整理后可得:

即使β值很小,也可以認為IC1≈IR,IC1與IR可以保持很好的鏡像關系。
2.2中間級電路分析(共射極放大器)

節點B處的電流方程為:

為了穩定Q點(靜態工作點),是三極管處于放大狀態,通常使參數的選取滿足I1>>IBQ
因此,I2≈I1,B點電位

表明基極點位幾乎是由Rb1和Rb2對VCC分壓決定,在溫度發生變化時UBQ基本不變。
1、靜態分析:
已知I1>>IBQ

發射極電流

由于ICQ≈IEQ,管壓降

基極電流

在不管電路參數是否滿足I1>>IBQ時,Re的負反饋都存在。利用戴維寧定理可知:

其中:

列出輸入回路方程

可以得出IEQ

當Re>>Rb(1+β)時:

2、動態分析:

電路分析如下:

如Au電路放大倍數公式可知,放大倍數與集電極RC電阻的阻值成正向關系,與發射極Re電阻阻值成反向關系。
共射放大電路在作為集成運放的中間級時,為了提高放大倍數,一般會將集電極電阻替換成恒流源。(恒流源的特點:內阻無窮大,不需要過高的輸入電壓)
2.3輸出級電路分析(共集電極放大器)-互補級輸出
由于晶體管的門限電壓不為零,比如一般的硅三極管,NPN型在0.7V以上才導通,這樣在00.7就存在死區,不能完全模擬出輸入信號波形,PNP型小于-0.7V才導通,比如當輸入的交流的正弦波時,在-0.70.7之間兩個管子都不能導通,輸出波形對輸入波形來說這就存在失真,即為交越失真。
克服交越失真的措施是:避開死區電壓區,使每一晶體管處于微導通狀態,一旦加入輸入信號,使其馬上進入線性工作區。如圖12所示。

提供給晶體管靜態偏置使其微導通有三種途徑:
(1)利用二極管和電阻的壓降產生偏置電壓;
(2)利用VBE擴大電路產生偏置電壓 --VBE倍增電路(常用)
(3)利用電阻上的壓降產生偏置電壓。

(a)電路分析如下:

(b)電路分析如下;若I2>>IB則:

浙公網安備 33010602011771號